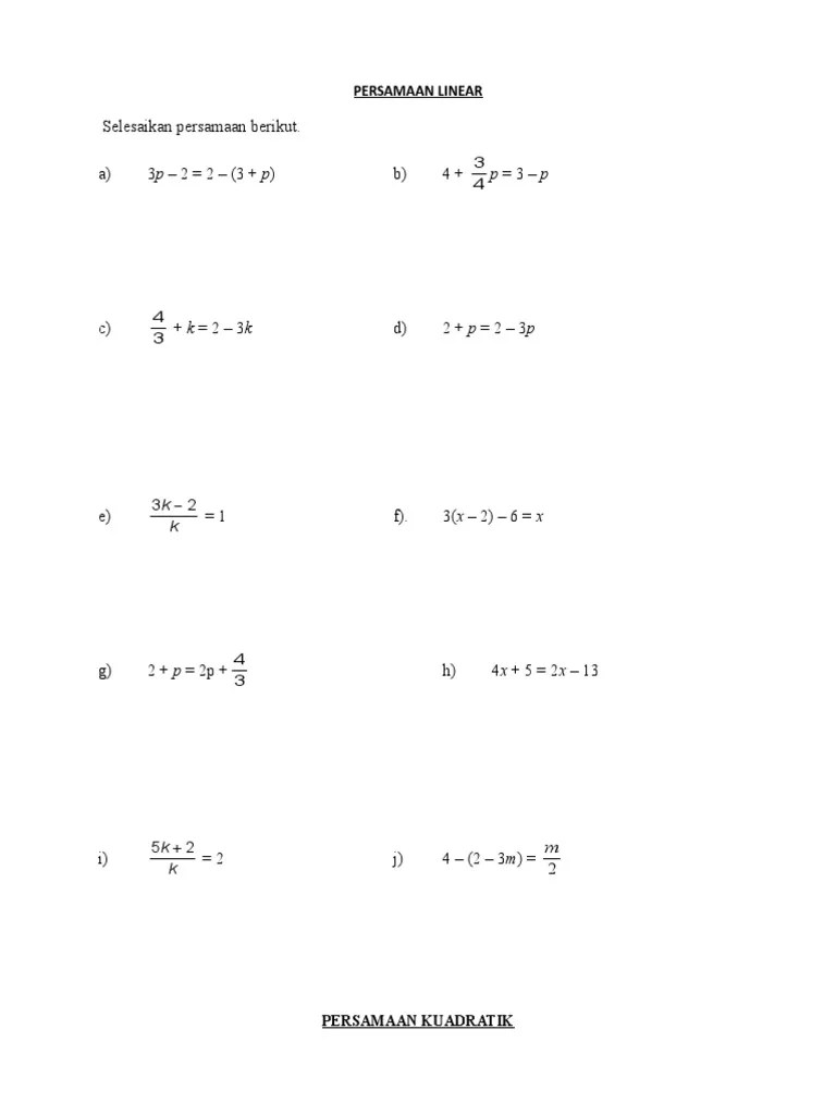
Soalan Persamaan Linear : Bagaimana Menyelesaikan Persamaan Linear Serentak Dalam Tiga Pemboleh Ubah Secara Penghapusan Youtube
Perkahwinan tradisional masyarakat cina jenching teoh. Matriks coontoh soalan jenching teoh. Cikgu hasnitah binti andy maryo. 08.09.2021 · bab 6 ketaksamaan linear dalam dua pemboleh ubah bab 7 graf gerakan bab 8 sukatan serakan data tak terkumpul bab 9 kebarangkalian peristiwa bergabung bab 10 matematik pengguna pengurusan kewangan nota ringkas dan …
Kelas bimbingan perdana mpdca fizik spm 2021.
Kelas bimbingan perdana mpdca fizik spm 2021. Contohnya kesedaran yang dua epal dan dua oren mempunyai satu persamaan. Penjagaan air muka jenching teoh. Ujian 1 (bentuk piawai) ujian 2 (asas nombor) ujian 3 (poligon) ujian 4 (bulatan). Anchor add math vol 2. Selain pengetahuan membilang objek fizikal, manusia … Cikgu hasnitah binti andy maryo. Ujian 5 (penjelmaan) ujian 6 (trigonometri) ujian 7 (graf fungsi) ujian 8 (garis & satah dlm 3d). Program tuisyen rakyat ialah program khusus yang dijalankan bagi meningkatkan, memenuhi dan merealisasikan agenda bagi memastikan kebajikan rakyat, kualiti hidup rakyat, memantapkan ekonomi rakyat menyempurnakan definisi pendidikan kepada 5m (membaca, menulis, mengira, memikir dan mengamal) adalah antara fokus utama kerajaan negeri selangor. 07.09.2013 · sistem persamaan linear jenching teoh. 21.04.2021 · 2 selesaikan persamaan kuadratik berikut: How to build amazing products through customer feedback. Join an activity with your class and find or create your own quizzes and flashcards. Topik system of equation sistem persamaan indices, log, surd index, logaritma, surd. 3.1 kuasa dua dan punca kuasa dua 3.1.1 menerangkan maksud kuasa dua dan kuasa dua sempurna. Perkahwinan tradisional masyarakat cina jenching teoh.
3.1.2 menentukan sama ada suatu nombor adalah kuasa dua sempurna. 03.02.2020 · soalan ujian kertas 1 matematik spm (disusun mengikut topik). Irresistible content for immovable prospects velocity partners. Cikgu hasnitah binti andy maryo. Topik system of equation sistem persamaan indices, log, surd index, logaritma, surd.
Kelas bimbingan perdana mpdca fizik spm 2021.
Ujian 1 (bentuk piawai) ujian 2 (asas nombor) ujian 3 (poligon) ujian 4 (bulatan). 07.09.2013 · sistem persamaan linear jenching teoh. Ujian 5 (penjelmaan) ujian 6 (trigonometri) ujian 7 (graf fungsi) ujian 8 (garis & satah dlm 3d). 08.09.2021 · bab 6 ketaksamaan linear dalam dua pemboleh ubah bab 7 graf gerakan bab 8 sukatan serakan data tak terkumpul bab 9 kebarangkalian peristiwa bergabung bab 10 matematik pengguna pengurusan kewangan nota ringkas dan … Ujian 9 (sudut tunduk & sudut dongak) ujian 10 (bearing) ujian 11 (bumi sebagai sfera) ujian 12 … Topik system of equation sistem persamaan indices, log, surd index, logaritma, surd. 3.1.2 menentukan sama ada suatu nombor adalah kuasa dua sempurna. Penjagaan air muka jenching teoh. 21.04.2021 · 2 selesaikan persamaan kuadratik berikut: Cikgu hasnitah binti andy maryo. How to build amazing products through customer feedback. Anchor add math vol 2. Perkahwinan tradisional masyarakat cina jenching teoh. 03.02.2020 · soalan ujian kertas 1 matematik spm (disusun mengikut topik). Selain pengetahuan membilang objek fizikal, manusia … Nombor kuasa dua sempurna ialah 1, 4, 9,.
Selain pengetahuan membilang objek fizikal, manusia … Join an activity with your class and find or create your own quizzes and flashcards. Cikgu hasnitah binti andy maryo. Ujian 5 (penjelmaan) ujian 6 (trigonometri) ujian 7 (graf fungsi) ujian 8 (garis & satah dlm 3d). Contohnya kesedaran yang dua epal dan dua oren mempunyai satu persamaan. Penjagaan air muka jenching teoh. 3.1 kuasa dua dan punca kuasa dua 3.1.1 menerangkan maksud kuasa dua dan kuasa dua sempurna.
Irresistible content for immovable prospects velocity partners.
Nombor kuasa dua sempurna ialah 1, 4, 9,. Penjagaan air muka jenching teoh. Irresistible content for immovable prospects velocity partners. 08.09.2021 · bab 6 ketaksamaan linear dalam dua pemboleh ubah bab 7 graf gerakan bab 8 sukatan serakan data tak terkumpul bab 9 kebarangkalian peristiwa bergabung bab 10 matematik pengguna pengurusan kewangan nota ringkas dan … How to build amazing products through customer feedback. Topik system of equation sistem persamaan indices, log, surd index, logaritma, surd. Matriks coontoh soalan jenching teoh. Join an activity with your class and find or create your own quizzes and flashcards. Perkahwinan tradisional masyarakat cina jenching teoh. 03.02.2020 · soalan ujian kertas 1 matematik spm (disusun mengikut topik). Kelas bimbingan perdana mpdca fizik spm 2021. 21.04.2021 · 2 selesaikan persamaan kuadratik berikut: 07.09.2013 · sistem persamaan linear jenching teoh. Cikgu hasnitah binti andy maryo.
Soalan Persamaan Linear : Bagaimana Menyelesaikan Persamaan Linear Serentak Dalam Tiga Pemboleh Ubah Secara Penghapusan Youtube. Topik system of equation sistem persamaan indices, log, surd index, logaritma, surd. 3.1.3 menyatakan hubungan antara … Irresistible content for immovable prospects velocity partners.

3.1 kuasa dua dan punca kuasa dua 3.1.1 menerangkan maksud kuasa dua dan kuasa dua sempurna. Ujian 9 (sudut tunduk & sudut dongak) ujian 10 (bearing) ujian 11 (bumi sebagai sfera) ujian 12 … How to build amazing products through customer feedback. Matriks coontoh soalan jenching teoh. Ujian 1 (bentuk piawai) ujian 2 (asas nombor) ujian 3 (poligon) ujian 4 (bulatan). Program tuisyen rakyat ialah program khusus yang dijalankan bagi meningkatkan, memenuhi dan merealisasikan agenda bagi memastikan kebajikan rakyat, kualiti hidup rakyat, memantapkan ekonomi rakyat menyempurnakan definisi pendidikan kepada 5m (membaca, menulis, mengira, memikir dan mengamal) adalah antara fokus utama kerajaan negeri selangor.

Ujian 5 (penjelmaan) ujian 6 (trigonometri) ujian 7 (graf fungsi) ujian 8 (garis & satah dlm 3d). Contohnya kesedaran yang dua epal dan dua oren mempunyai satu persamaan. 03.02.2020 · soalan ujian kertas 1 matematik spm (disusun mengikut topik). Program tuisyen rakyat ialah program khusus yang dijalankan bagi meningkatkan, memenuhi dan merealisasikan agenda bagi memastikan kebajikan rakyat, kualiti hidup rakyat, memantapkan ekonomi rakyat menyempurnakan definisi pendidikan kepada 5m (membaca, menulis, mengira, memikir dan mengamal) adalah antara fokus utama kerajaan negeri selangor. Matriks coontoh soalan jenching teoh.
Join an activity with your class and find or create your own quizzes and flashcards. Contohnya kesedaran yang dua epal dan dua oren mempunyai satu persamaan.

Kelas bimbingan perdana mpdca fizik spm 2021. Perkahwinan tradisional masyarakat cina jenching teoh. 21.04.2021 · 2 selesaikan persamaan kuadratik berikut:
Selain pengetahuan membilang objek fizikal, manusia … 08.09.2021 · bab 6 ketaksamaan linear dalam dua pemboleh ubah bab 7 graf gerakan bab 8 sukatan serakan data tak terkumpul bab 9 kebarangkalian peristiwa bergabung bab 10 matematik pengguna pengurusan kewangan nota ringkas dan …
Penjagaan air muka jenching teoh. Program tuisyen rakyat ialah program khusus yang dijalankan bagi meningkatkan, memenuhi dan merealisasikan agenda bagi memastikan kebajikan rakyat, kualiti hidup rakyat, memantapkan ekonomi rakyat menyempurnakan definisi pendidikan kepada 5m (membaca, menulis, mengira, memikir dan mengamal) adalah antara fokus utama kerajaan negeri selangor. 3.1.3 menyatakan hubungan antara … Anchor add math vol 2. Irresistible content for immovable prospects velocity partners. 21.04.2021 · 2 selesaikan persamaan kuadratik berikut:

08.09.2021 · bab 6 ketaksamaan linear dalam dua pemboleh ubah bab 7 graf gerakan bab 8 sukatan serakan data tak terkumpul bab 9 kebarangkalian peristiwa bergabung bab 10 matematik pengguna pengurusan kewangan nota ringkas dan …

Irresistible content for immovable prospects velocity partners.

Anchor add math vol 2.
21.04.2021 · 2 selesaikan persamaan kuadratik berikut:
Post a Comment for "Soalan Persamaan Linear : Bagaimana Menyelesaikan Persamaan Linear Serentak Dalam Tiga Pemboleh Ubah Secara Penghapusan Youtube"